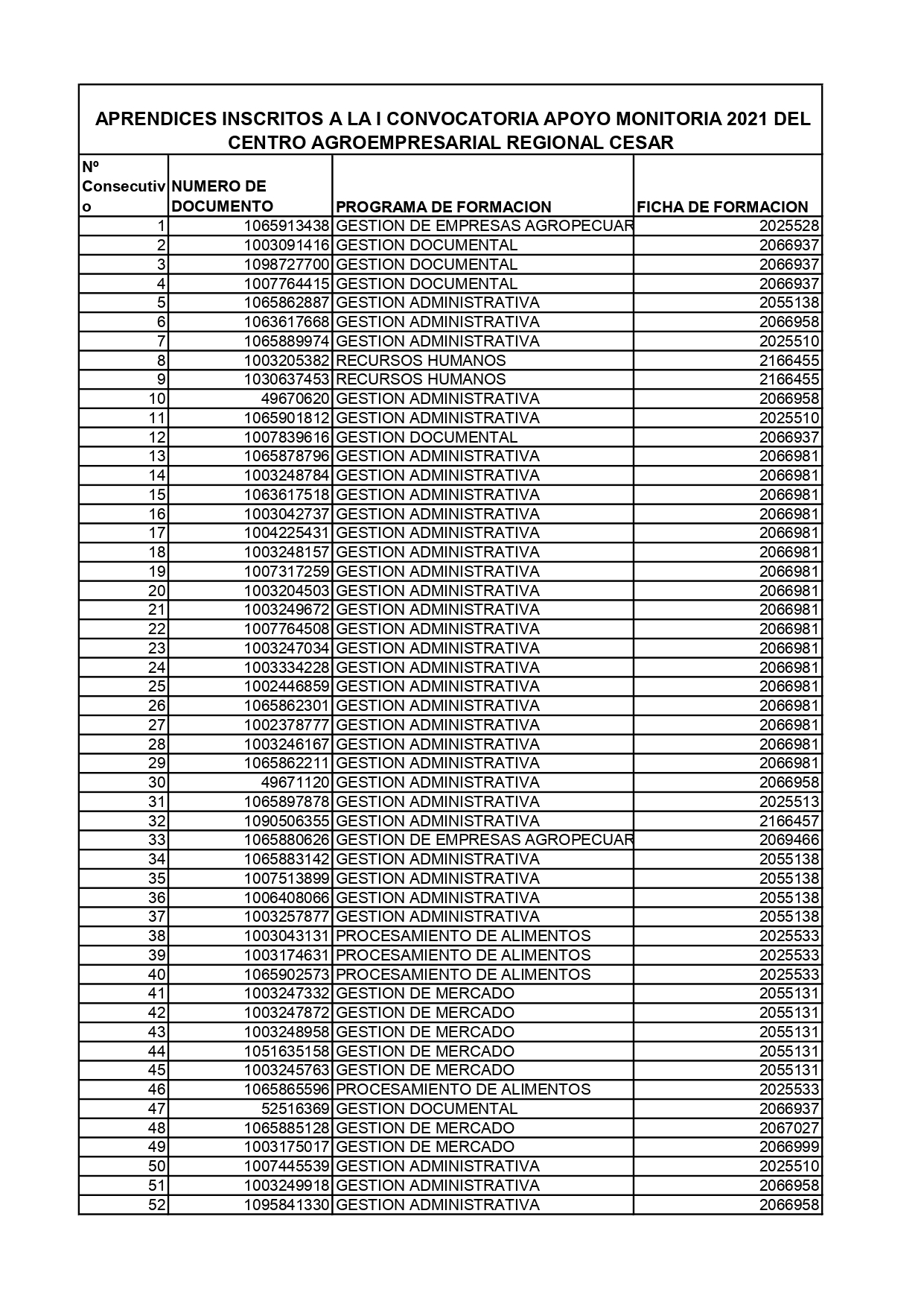
Un total de 96 aprendices del Centro Agroempresarial Regional Cesar se inscribieron en la Primera Convocatoria de Apoyo Monitoria de 2021.
Se adjunta el link del documento:
https://drive.google.com/file/d/1967ev2LlgXnxLtuenmJHPOqtj2cVxoe5/view?usp=sharing

